一、調查背景
工商管理碩士(MBA)旨在培養能夠勝任工商企業和經濟管理部門高層管理工作需要的實務型、復合型和應用型高層次管理人才。MBA教育從上世紀 80年代開始引入我國,特別強調在掌握現代管理理論和方法的基礎上,通過商業案例分析、實戰觀摩、分析與決策技能訓練等培養學生的實際操作技能,使學生接受知識與技能、個性與心理、目標與愿望等方面的挑戰,更具有職業競爭的實力。
隨著我國MBA教育的日趨成熟,越來越多的職場人選擇攻讀MBA學位,為自己的職業生涯助力。無論他們之前從事的領域是研發、生產、供應鏈、銷售,還是市場、人事、財務,他們希望通過商學院的再教育,獲得更為完善的商業知識體系,并希望走上管理崗位。
2020年1月和4月,中央財經大學MBA教育中心在線調研了MBA在讀生、MBA考生以及潛在MBA考生(有報考MBA意愿者),分析和比較了不同學員的特點和期待。由于我們的調研周期正值新型冠狀病毒肺炎疫情期間,本報告也展現了疫情前后學員的變化,從而反映在后疫情時代,MBA教育所面臨的機遇和挑戰。
二、數據分析
1、群體特征

圖1:受訪者年收入情況
由圖1可見,參加調查的大多數人的年收入集中在 10-40 萬,僅有少數人的年收入超過了100萬以上。

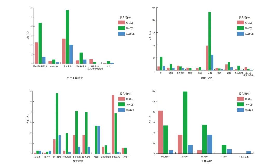
圖2:受訪者的群體特征
由圖2可見,參與調查的50萬以上收入群體基本集中在金融行業的民營企業中,職位多數為部門經理和總監一類的管理層,工作年限集中在11-15年;21-40萬收入群體同樣集中在金融行業,不過國有企業和民營企業人數都較多,公司中的普通中層職位分布較多,工作年限則大多數集中于6-10年;10-20萬收入群體與21-40萬收入群體類似,集中于金融行業的國有和民營企業,不過職位基本為普通職員,工作年限集中在5年以下。
2、報考目標

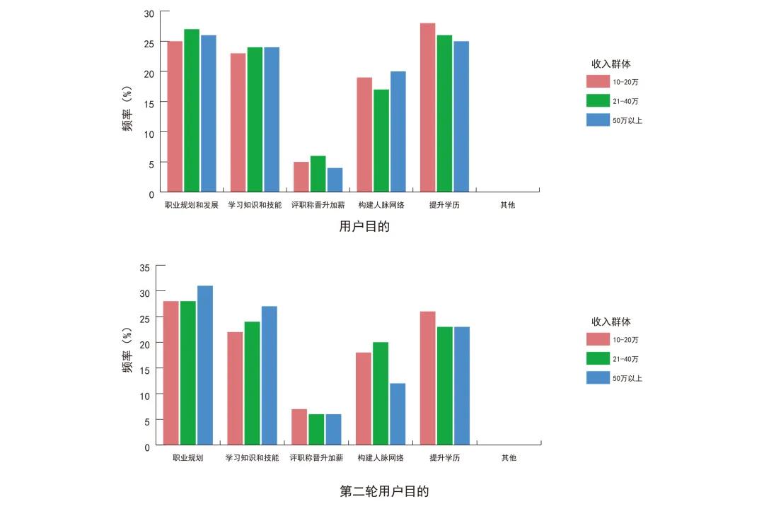
圖3:報考目的
由圖3可見,50萬以上收入群體報考MBA最主要是為了職業規劃發展,21-40 萬收入群則是為了職業規劃發展和提升自身學歷,而10-20萬收入群體最傾向于提升自身學歷。三個群體都對學習知識和技能抱有很大的期望。這也符合我們的預期:收入越高的用戶更期望的是對將來的規劃,因為他們的工作年限普遍超過5年;而無論收入如何,都希望能通過MBA學到真材實料。

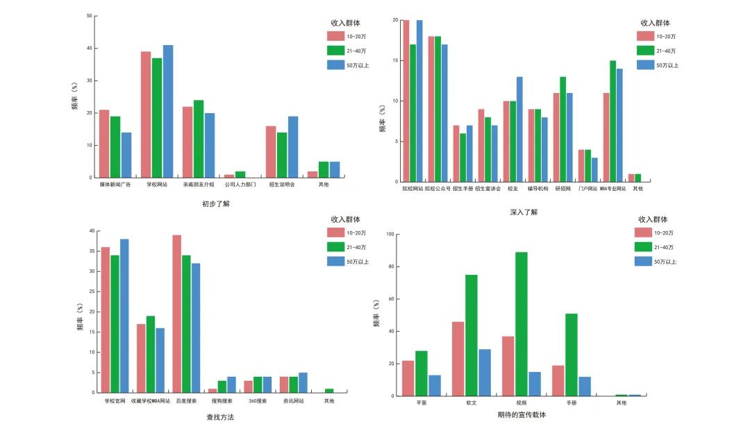
圖4:對MBA項目的了解渠道
由圖4可見,初步了解階段,大家大多是通過各學校網站了解MBA項目,深入了解也同樣主要是由院校的網站與院校公眾號提供相關 MBA 信息。查找方法基本選擇學校官網與百度搜索的方式。對于期待的宣傳載體,10-40萬收入群傾向于軟文與視頻,50 萬以上收入群體更期望軟文。

圖5:宣講會與輔導機構參與情況
總的來說,收入越高的群體越傾向于正式性較強的軟文,工作年限較短的年輕一代則更傾向于視頻宣傳這種流行方式。

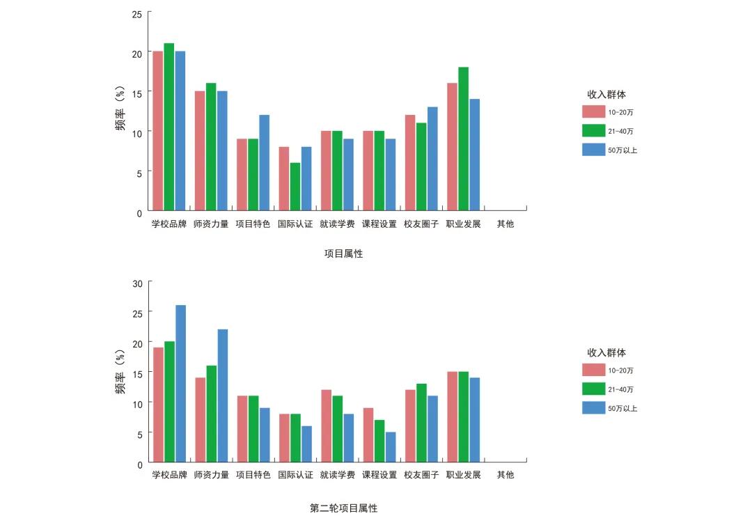
圖6:受訪者關注點
無論哪一種收入群體,基本都對學校品牌、師資力量以及職業發展關注較多。這與上文用戶的目的相契合,用戶普遍期望的是學歷、職業發展以及自身的提高,因此關注的更多是學校的社會影響力以及學習MBA對自身發展的影響。

圖7:受訪者對項目信息的關注
10-20萬收入群體和50萬以上收入群體都更傾向于關注MBA的招生政策,而21-40萬收入群體不僅關注招生政策,對學術講座與校友平臺的關注度也不低。由此可見,10-20萬收入群體與50萬以上收入群體更加在乎自己能否順利入學,而21-40萬收入群體除了對入學有需求外,對自己今后的交際圈,能否接觸行業內大牛也十分看重。

圖8:期望的學習及上課方式
一般而言,對于職場人士,周末能空出來的時間會比較多,學習的時間也能有所保障。因此無論哪一類人群,對于學習與上課方式來說,都傾向于非全日制的周末班。
3、疫情前后的變化

圖9:疫情前后收入的變化
由圖9可見,疫情后我們的調查對象中絕大部分人的收入都下降了,下降幅度集中在10%~20%之間;只有極少數人的收入增加了。這說明疫情期間,絕大部分人或是延期開工,或是在家辦公,收入或多或少會下降。

圖10:報考目的在疫情前后的變化
由圖10可見,與疫情前相比,50萬以上收入群體報考MBA為了職業規劃發展和學習知識和技能的目的更加強烈了,21-40萬收入群體的職業規劃發展和學習知識和技能的目的幾乎沒變,同時構建人際網絡的想法有所加強,而10-20萬收入群體的最大傾向也變更為職業規劃發展。三個群體的提升學歷的想法都有所下降。這表明疫情之后,三個群體對于學歷的追求均有所下降,反而更加重視實際的技能

圖11:報考關注點在疫情前后的變化
由圖11可見,與疫情前相比,三個群體仍對學校品牌、師資力量以及職業發展比較關注;但其中50萬以上收入群體對學校品牌、師資力量的重視提升幅度較大,而21-40萬收入群體則將一部分目光從職業發展移到了校友圈子上。與上文契合,疫情后50 萬以上收入群體更加期望能學到更加優質的技能,獲得更好的職業發展,因此重視學校品牌與師資力量;21-40 萬收入群體則希望重視人脈圈。
三、總結
本次調研,掌握了報考MBA項目的人員的個人基本情況和群體特征,了解了其選擇MBA項目時的心理動態和期望訴求,并通過疫情前后的對比,來詳細說明了疫情使受訪者在選擇MBA項目時所關注的內容發生了微妙的變化,三個收入群體對于學歷的追求均有所下降,反而更加重視實際的技能。因此對于MBA項目,有以下幾點建議:
第一,加強品牌建設,擴大宣傳渠道。由于大多數學員對于MBA項目的了解是由院校的網站與院校公眾號提供相關MBA信息,查找方法基本選擇學校官網與百度搜索的方式,觸及面不廣,影響也不深,因此需要更精準的營銷策略,精確投放至有期望攻讀 MBA 學位的人員,使其能迅速建立起對 MBA 項目的認知與好感,從而進行選擇。
第二,根據自身所處梯隊,進行合理定價。調研結果顯示疫情前后受訪者的收入有一定的下降,在眾多影響選擇MBA項目的因素中,受訪者更為重視項目的費用。因此,MBA項目提供方應當綜合院校排名、師資設施、市場經濟情況,進行合理定價,達成共贏局面。
第三,提升學員入門門檻,建立優質網絡資源。無論是疫情前后,各收入層次對于MBA項目的期待中,構建人際網絡都是重要的訴求之一。MBA項目的選拔過程,其實就是把社會背景相似、學習經歷相似,有著相似的世界觀、價值觀的人聚集到一起,相互學習、 共同成長。因此,為學員提供優質社交網絡里,亦是MBA項目應當重視的方面。
第四,授課應當重視職業技能與理論知識的結合。MBA是以實踐為導向的研究生教育,因此可以針對學員的情況,合理的制定MBA項目各專業的培養方案。





